반응형



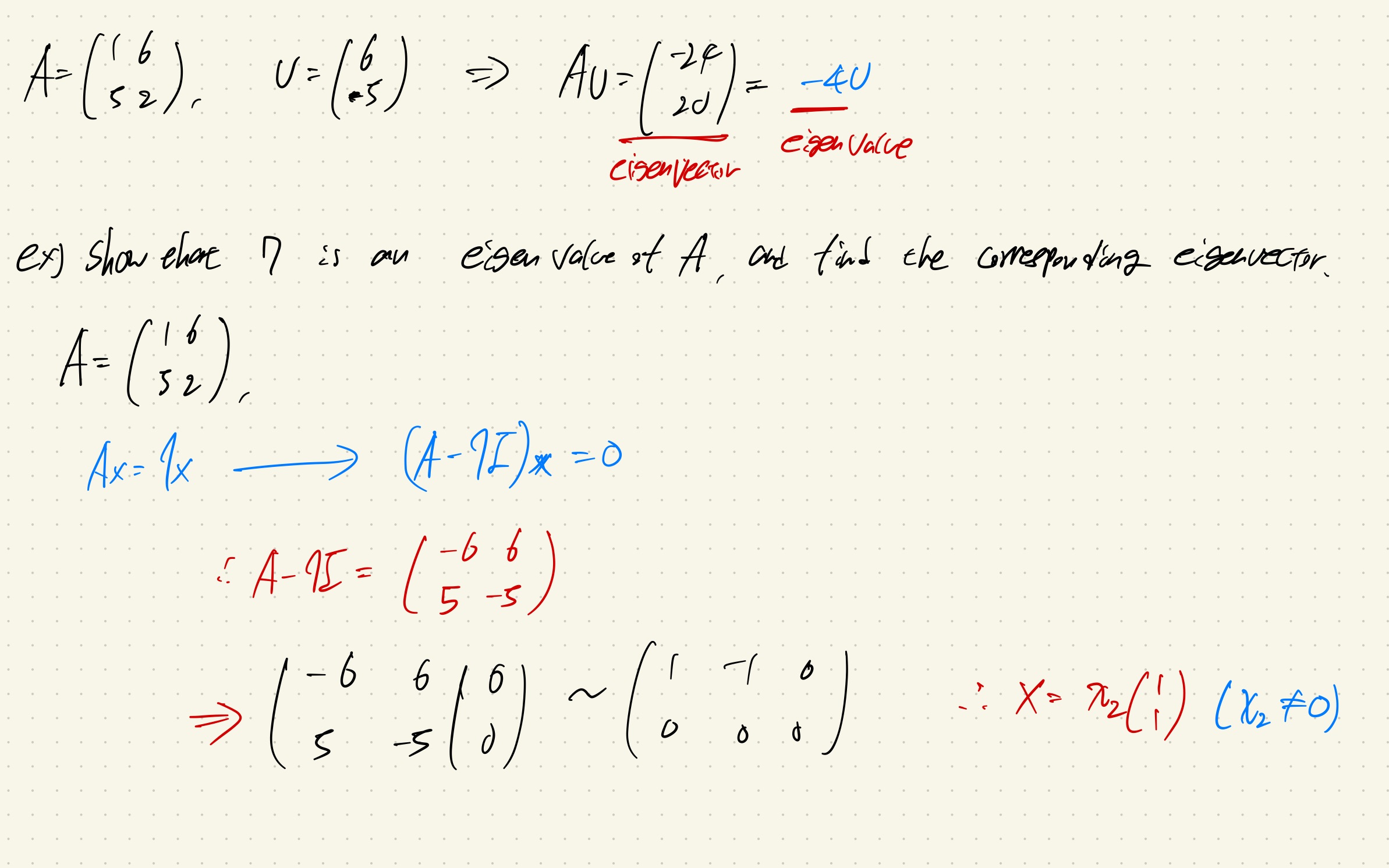
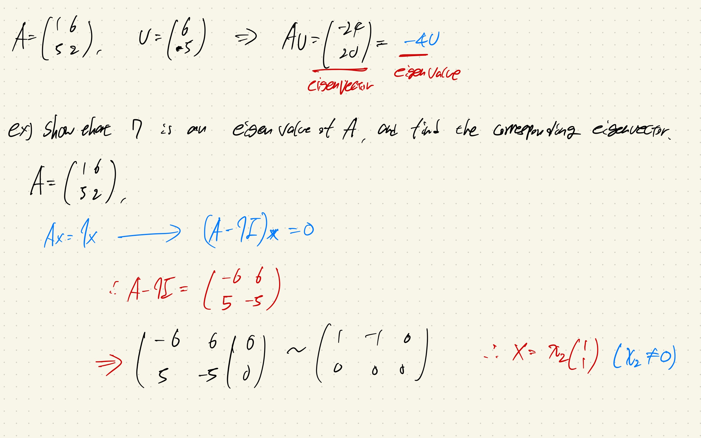
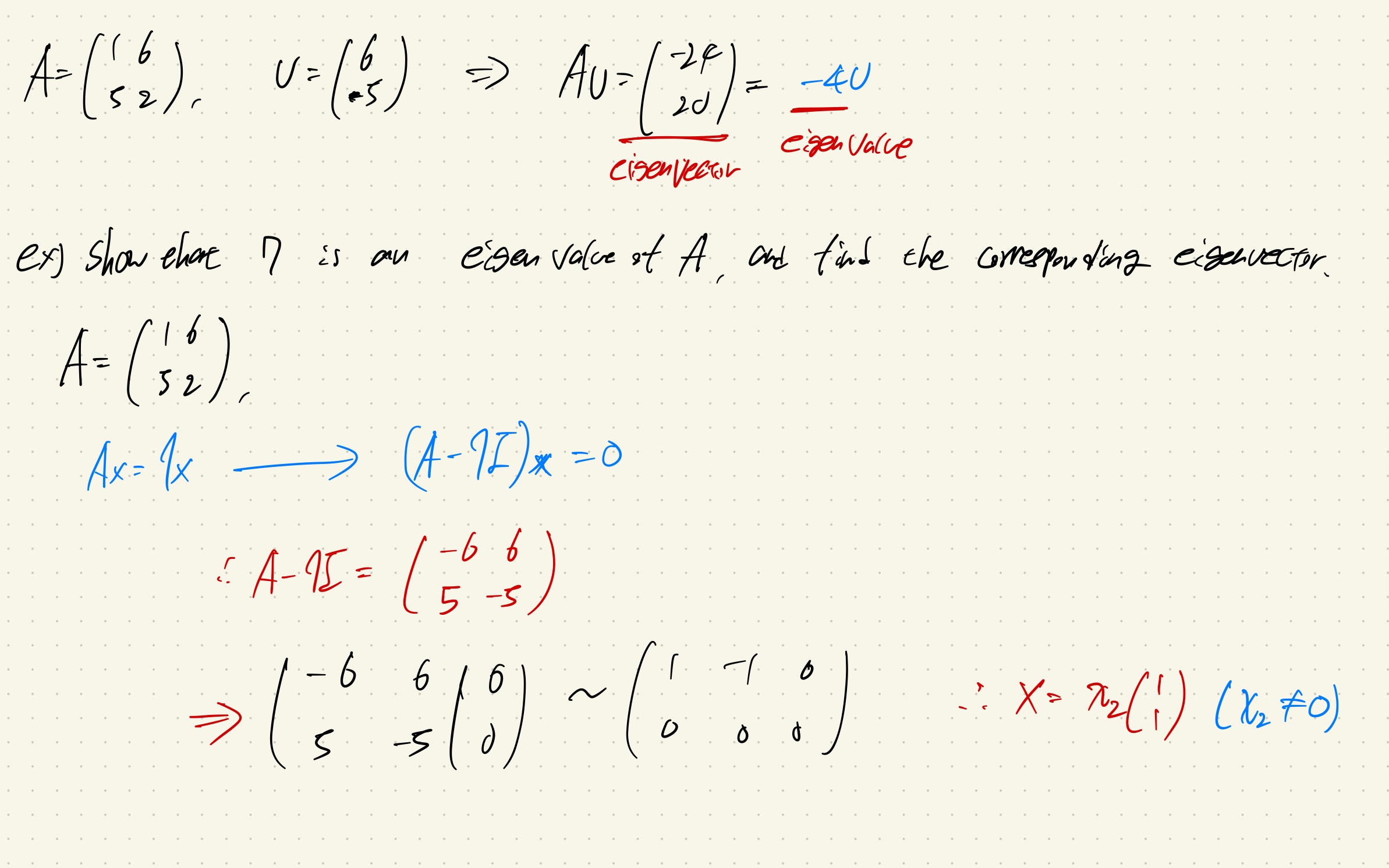
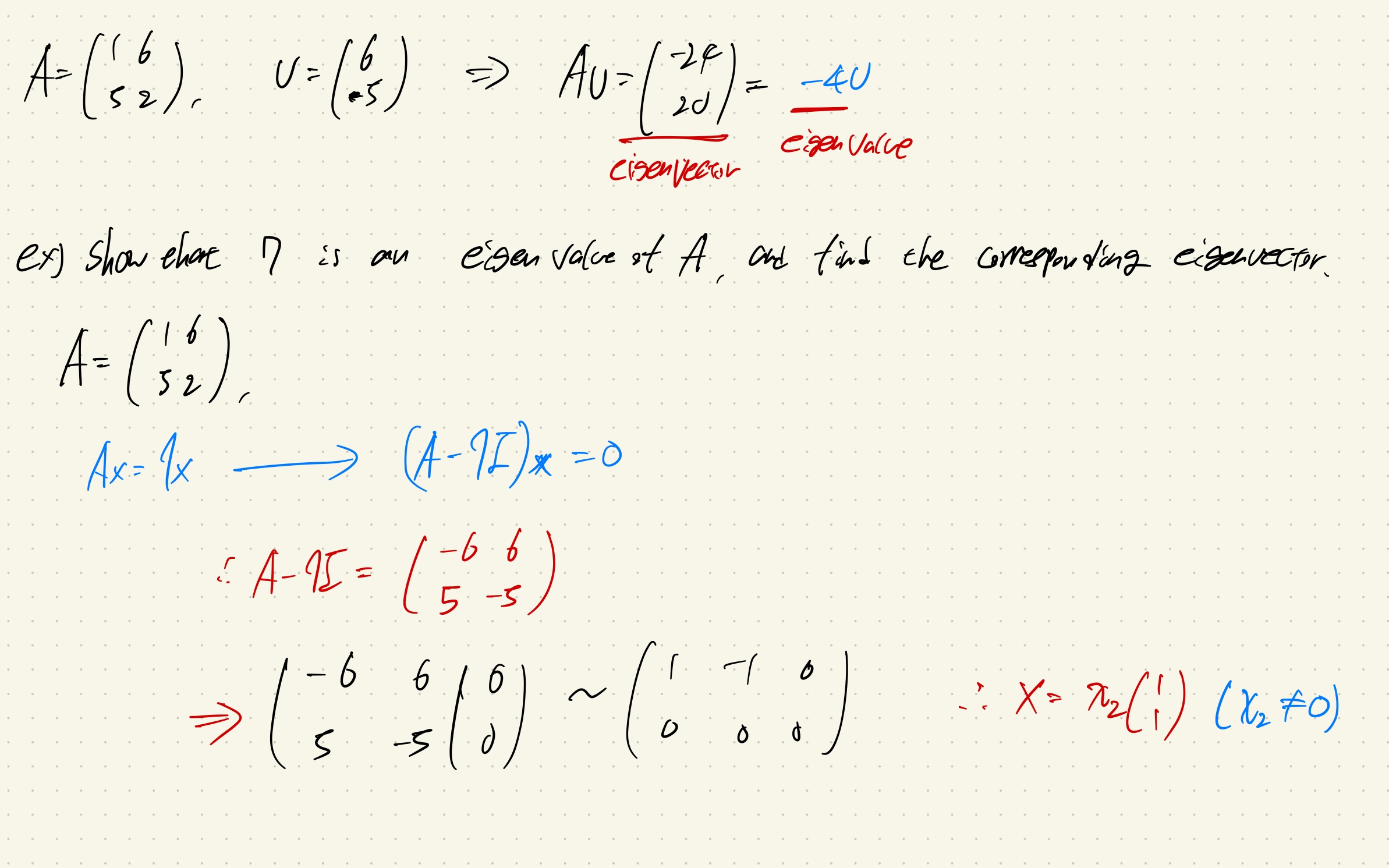
Eigenspace는 zero vector를 포함하고 있는 것이다.
따라서 zero vector가 안되는 eigenvector와는 다른개념이다!


Triangular matrix의 경우, diagonal term이 eigenvalues이다.
왜냐하면, charateristics equation을 만들 때 그 형태가 nontrivial solution이어야 하기 때문이다.


반응형
'MATH > Linear Algebra' 카테고리의 다른 글
| Diagonalization (0) | 2023.01.19 |
|---|---|
| The charateristics equation - similarity (0) | 2023.01.19 |
| Cramer's Rule and Linear Transformation (0) | 2023.01.01 |
| Properties of Determinats (0) | 2023.01.01 |
| Introduction to Determinants (0) | 2023.01.01 |