반응형
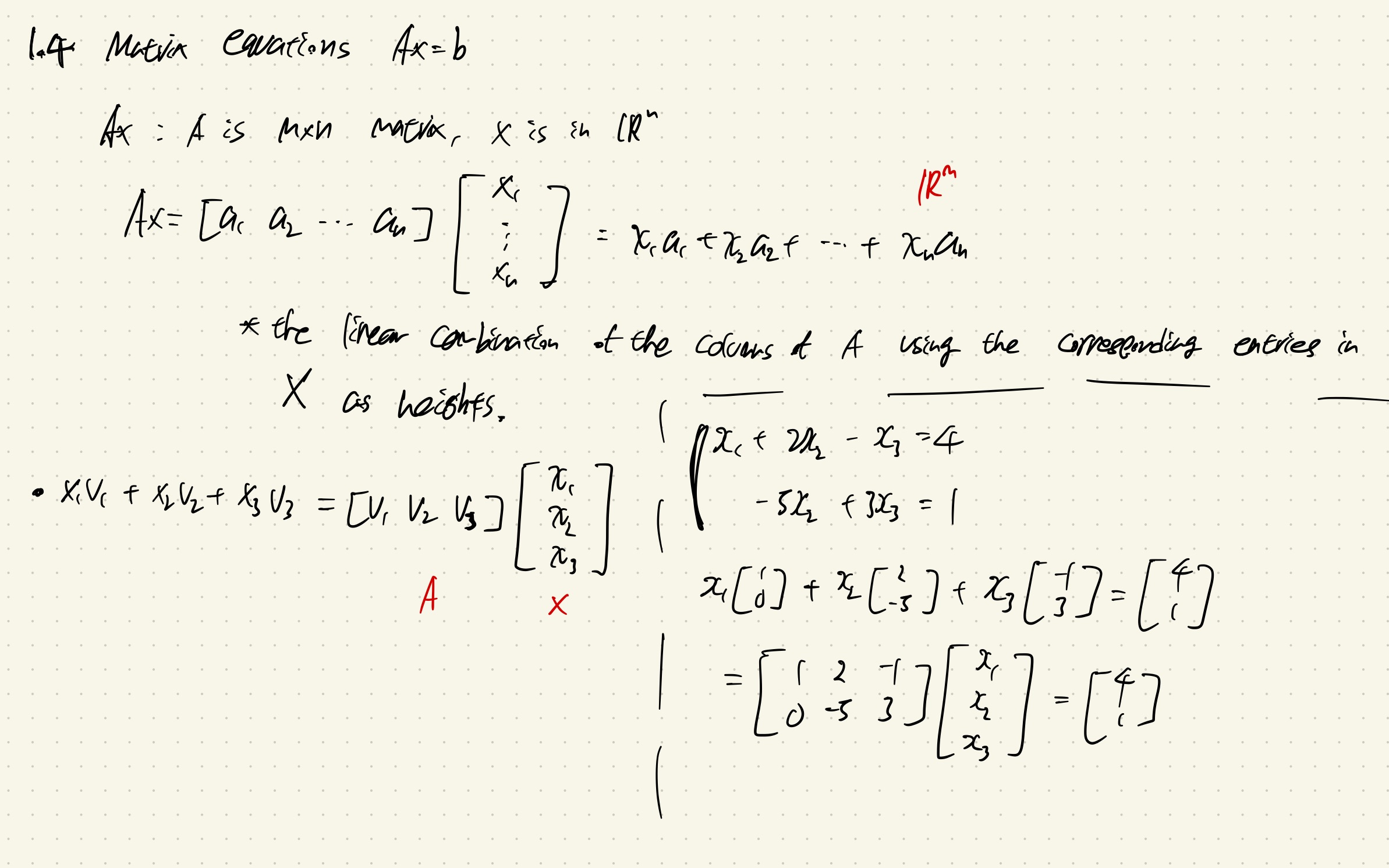
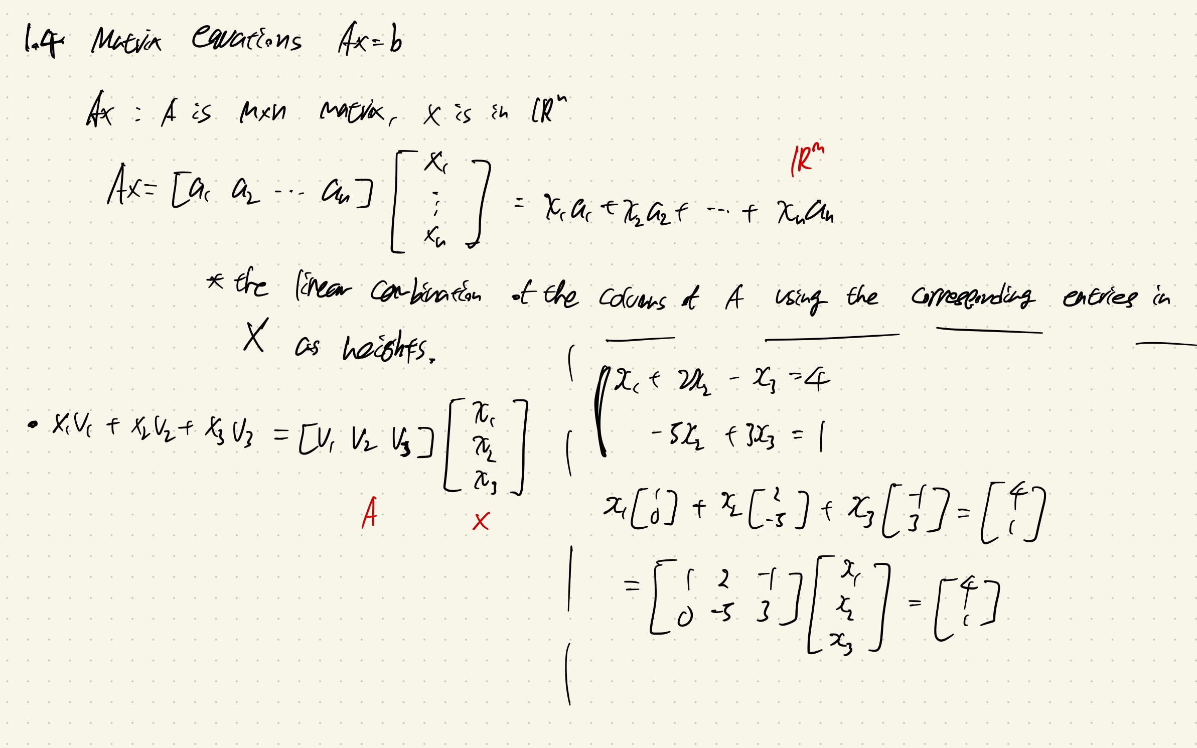
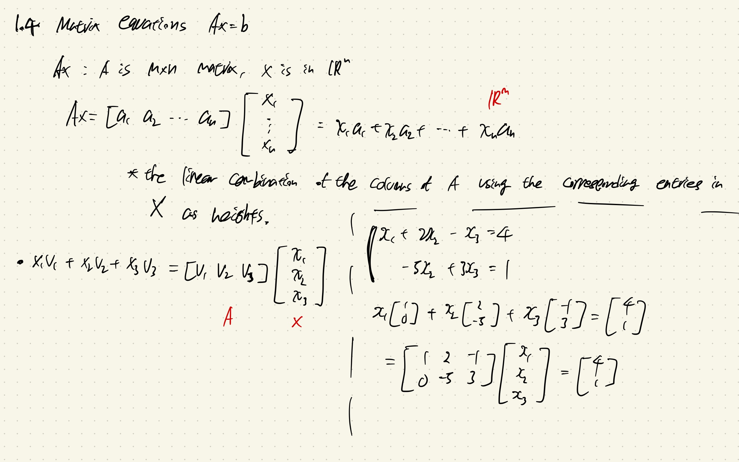
* 본 글은 선형대수학 복습을 상기시키기 위한 글로, 설명이 매우 부족할(?) 수 있습니다.



반응형
'MATH > Linear Algebra' 카테고리의 다른 글
| Linear Independence - Independent, Dependent (0) | 2022.12.20 |
|---|---|
| Solutions Sets of Linear Algebra - homogeneous, nonhomogenous (0) | 2022.12.20 |
| Vector equations - Span (2) | 2022.12.20 |
| Row Reduction and Echelon forms - Pivot, Echelon form, Existence and Uniquenss Theorem (1) | 2022.12.20 |
| Systems of Linear Equations - Inconsistent, Consistent, Elementary row operations (3) | 2022.12.20 |